你提供的照片可能用于改善必应图片处理服务。
隐私政策
|
使用条款
无法使用此链接。检查链接是否以 "http://" 或 "https://" 开头,然后重试。
无法处理此搜索。请尝试其他图像或关键字。
试用视觉搜索
使用图像搜索、识别对象和文本、翻译或解决问题
将一个或多个图像拖到此处,
上传图像
或
打开相机
将图像放到此处以开始搜索
要使用可视化搜索,请在浏览器中启用相机
English
全部
搜索
图片
灵感
创建
集合
视频
地图
资讯
更多
购物
航班
旅游
笔记本
自动播放所有 GIF
在这里更改自动播放及其他图像设置
自动播放所有 GIF
拨动开关以打开
自动播放 GIF
图片尺寸
全部
小
中
大
特大
至少... *
自定义宽度
x
自定义高度
像素
请为宽度和高度输入一个数字
颜色
全部
仅限颜色
黑白
类型
全部
照片
剪贴画
素描
动画 GIF
透明
版式
全部
方形
横版
高
人物
全部
仅脸部
半身像
日期
全部
过去 24 小时
过去一周
过去一个月
去年
授权
全部
所有创作共用
公共领域
免费分享和使用
在商业上免费分享和使用
免费修改、分享和使用
在商业上免费修改、分享和使用
详细了解
清除筛选条件
安全搜索:
中等
严格
中等(默认)
关闭
筛选器
768×1024
scribd.com
Chapter4-Loading Effect…
1024×1024
stablediffusionweb.com
Loading Effect | Stable Diffusion Onl…
411×146
yourelectricalguide.com
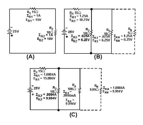
Voltmeter Loading Effect - Your Electrical Guide
569×370
researchgate.net
Normal Loading Condition | Download Scientific Diagram
568×330
researchgate.net
Normal Loading Condition. | Download Scientific Diagram
850×464
researchgate.net
System performance under normal loading conditions. | Download ...
850×364
researchgate.net
Normal loading conditions and system data. | Download Scientific Diagram
850×466
researchgate.net
Loading type effect on positive moments | Download Scientific Diagram
320×320
researchgate.net
Loading type effect on positive moments | Downl…
979×630
storage.googleapis.com
Loading Effect In An Ammeter at Werner Taylor blog
400×208
researchgate.net
Normal loading conditions with and without DG | Download Scientific Diagram
640×640
researchgate.net
An example of the cyclical loading effect | Download …
850×1492
researchgate.net
Effect of the applied norma…
850×316
researchgate.net
Influence of the loading effect on peak phenomena. | Download ...
466×466
researchgate.net
Influence of the loading effect on peak pheno…
850×728
researchgate.net
System normal loading behaviour of one intact ro…
850×579
researchgate.net
The (a) normal loading, (b) shear loading and (c) thermal loading ...
600×776
academia.edu
(PDF) A Study of Effect of Various …
850×429
researchgate.net
21: The two kinds of loading referring to loading in normal direction ...
600×589
researchgate.net
The analysis for the effect of loading rate (a) accord…
836×209
researchgate.net
Effect of the loading rate. | Download Scientific Diagram
320×320
researchgate.net
Effect of loading rate on peak effective stress | D…
850×670
researchgate.net
Effect of normal load on life | Download Scientific Diagram
320×320
researchgate.net
Effect of normal load on life | Download Scientifi…
850×581
researchgate.net
Numerical investigations of the loading sequence effect using two ...
320×320
researchgate.net
Different loading conditions were used to …
598×526
electriciantraining.tpub.com
Figure 1-26.The loading effect.
320×320
researchgate.net
Loading schemes and boundary conditions for normal and exp…
522×522
researchgate.net
8: Normal distributions showing the loading direction effects o…
545×980
researchgate.net
a) The effect of normal load o…
720×666
researchgate.net
Determination of the load effect on the normal probability paper ...
850×782
researchgate.net
Study of the loading sequence effect -comparison between the d…
748×615
researchgate.net
Schematic Diagram of Loading. | Download Scientific Diagram
320×320
researchgate.net
Example experiments. (a and b) Normal loading experiments. …
850×567
researchgate.net
Normality analysis of loading levels | Download Scientific Diagram
某些结果已被隐藏,因为你可能无法访问这些结果。
显示无法访问的结果
报告不当内容
请选择下列任一选项。
无关
低俗内容
成人
儿童性侵犯
反馈