English
全部
搜索
图片
视频
短视频
地图
资讯
更多
购物
航班
旅游
笔记本
报告不当内容
请选择下列任一选项。
无关
低俗内容
成人
儿童性侵犯
Raiz Tutorial 的热门建议
540 Kick
Tutorial
Ray Charles
Tutorial
Rolling Stones
Tutorial
Sideswipe
Tutorial
Wop
Tutorial
时长
全部
短(小于 5 分钟)
中(5-20 分钟)
长(大于 20 分钟)
日期
全部
过去 24 小时
过去一周
过去一个月
去年
清晰度
全部
低于 360p
360p 或更高
480p 或更高
720p 或更高
1080p 或更高
源
全部
Dailymotion
Vimeo
Metacafe
Hulu
VEVO
Myspace
MTV
CBS
Fox
CNN
MSN
价格
全部
免费
付费
清除筛选条件
安全搜索:
中等
严格
中等(默认)
关闭
筛选器
540 Kick
Tutorial
Ray Charles
Tutorial
Rolling Stones
Tutorial
Sideswipe
Tutorial
Wop
Tutorial
19:37
YouTube
academia JAF
Aprende a resolver RAÍCES CUADRADAS
MATEMÁTICAS | Raíz cuadrada | Resuelve cualquier raíz cuadrada siguiendo los pasos que te indicamos en este vídeo. Te presentamos varios ejercicios matemáticos resueltos para que aprendas a resolver raíces cuadradas de cualquier número fácilmente. #Matemáticas #Raíces #RaízCuadrada Puedes encontrar todos nuestros vídeos de raíces ...
已浏览 39.2万 次
2021年10月7日
短视频
0:37
已浏览 2.5万 次
CALCULAR una RAIZ CUADRADA #excel #shorts #cursoexcel #cursodeexcel
Tutoriales IT
0:51
已浏览 1.9万 次
Método fácil para calcular raíz cuadrada y cúbica
matematicassindramas
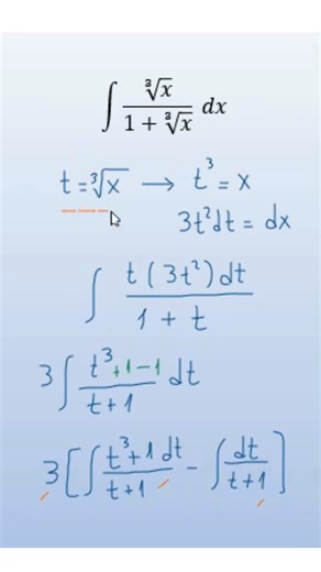
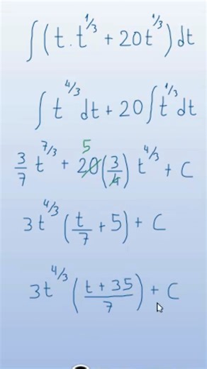
Integral de Raiz Quadrada
Antiderivatives in Calculus: Exploring Integral Functions
TikTok
hadi_sr
已浏览 230万 次
2022年9月3日
0:50
Integral e Derivada - Qual é a relação entre elas?
YouTube
Profª Jaque - Matemática
已浏览 2.3万 次
2023年6月5日
5:38
A little partial derivative never hurt anyone. #mathematics #calculus #learnmath #integral #mathstudent
TikTok
mathscribbles
已浏览 9407 次
3 周前
热门视频
3:06
🔎 Raiz de uma Raiz - Propriedade dos Radicais - Professora Angela Matemática
YouTube
Professora Angela Matemátic
已浏览 7477 次
2021年9月10日
12:50
How to Solve Square Roots ✅
YouTube
Susi Profe
已浏览 187.9万 次
2017年5月14日
9:58
Raiz App Review in 2025 | How To Invest For Beginners In Australia
YouTube
Bryan Invest
已浏览 5.4万 次
2023年3月6日
Integral de Raiz Cúbica
7:44
SECRETO para APRENDER desde CERO Profesor de cálculo integral Examen de cálculo integral Clases de cálculo integral Cursos de cálculo integral Universidad Central del Ecuador Escuela Politécnica Nacional Universidad de las Fuerzas Armadas Universidad de Guayaquil Escuela Superior Politécnica del Litoral Escuela Superior Politécnica de Chimborazo Quito Ecuador Ambato Ecuador Cuenca Ecuador Loja Ecuador Cayambe Ecuador Ibarra Ecuador Latacunga Ecuador #aprendeentiktok #clases #tutorials #teacher #
TikTok
sergio._._.damian
已浏览 3144 次
2 周前
0:18
math is easy 🥲 #math #integral #pi #euler #why #fyp #foryou #easy
TikTok
why_axis_
已浏览 460万 次
2022年8月8日
0:29
Integration multiple choice hack! #calculus #integral #ap | Calculus
TikTok
mathmax78
已浏览 1.4万 次
2 周前
3:06
🔎 Raiz de uma Raiz - Propriedade dos Radicais - Professora Angela Mate
…
已浏览 7477 次
2021年9月10日
YouTube
Professora Angela Matemática
12:50
How to Solve Square Roots ✅
已浏览 187.9万 次
2017年5月14日
YouTube
Susi Profe
9:58
Raiz App Review in 2025 | How To Invest For Beginners In Australia
已浏览 5.4万 次
2023年3月6日
YouTube
Bryan Invest
9:31
HOW TO DO THE SQUARE ROOT Super easy - For beginners
已浏览 427万 次
2023年3月1日
YouTube
Daniel Carreón
5:53
Raiz De Raiz
已浏览 4.7万 次
2020年4月9日
YouTube
Matemática - Prof Reginaldo Moraes
6:50
Raiz Invest hands-on review | Micro-investing apps Australia
已浏览 5.3万 次
2019年11月5日
YouTube
Finder Australia
Como calcular raiz quadrada com vírgula
已浏览 11.2万 次
2024年7月17日
TikTok
ticistudies
7:01
ROOT OF ROOT - HOW TO SOLVE? Professor Angela Mathematics
已浏览 6983 次
2023年9月21日
YouTube
Professora Angela Matemática
5:16
RADICACIÓN
已浏览 88.6万 次
2017年2月11日
YouTube
Aprendiendo Matemática
11:49
Simplificación de radicales | Parte 1 principiantes
已浏览 603.3万 次
2016年10月27日
YouTube
Matemáticas profe Alex
7:35
RATIONALIZATION of RADICALS ✅ Rationalize Roots
已浏览 206.6万 次
2017年10月8日
YouTube
Susi Profe
4:34
RAÍZ CUADRADA Super Facil
已浏览 1330万 次
2017年6月3日
YouTube
Daniel Carreón
9:26
CÓMO HACER UNA RAIZ CUADRADA SIN CALCULADORA
…
已浏览 48.4万 次
2023年10月3日
YouTube
Daniel Carreón
8:09
Square root (how to do a square root by hand) 01
已浏览 35.1万 次
2015年11月17日
YouTube
Ruben Sebastian
8:29
Función RAIZ en Excel (Raíz cuadrada, Raíz cúbica, cuarta, qui
…
已浏览 18.4万 次
2020年1月6日
YouTube
El Tío Tech
2:41
How to do multiple Raiz/continuous Raiz Tutorial
已浏览 222 次
2020年9月26日
YouTube
Justin Modeste
8:42
How to Make Money with Raiz | Raiz App Review 🌱
已浏览 1.2万 次
2019年8月15日
YouTube
Rainbow Investing
Raiz Tutorial
已浏览 48.6万 次
2008年8月29日
YouTube
Move With Mendoza
6:51
DIVISIÓN DE RADICALES CON EL MISMO ÍNDICE Super facil - Para p
…
已浏览 25.1万 次
2023年3月15日
YouTube
Daniel Carreón
4:03
How to Raiz & TD Raiz | Tricking 101 | Tutorial
已浏览 38.7万 次
2013年11月21日
YouTube
JayR deGuzman
0:50
How to learn raiz 🔥💪 #flip #raiz #tutorial #tricking
已浏览 907 次
2024年2月28日
YouTube
Akuma TV
COMPLETE TOUCHDOWN RAIZ TUTORIAL - How to Learn, Approa
…
已浏览 2133 次
2020年1月9日
YouTube
Andre Tricks
6:41
Aprenda a Fazer o RAIZ TD (Raiz Touchdown) do Tricking • Tutorial
…
已浏览 6.1万 次
2017年8月12日
YouTube
Brasil Trix
0:11
2.4K views · 1.3K reactions | Save and Invest a little for your future e
…
已浏览 444.9万 次
4 周前
Facebook
Raiz
How to raiz tutorial! #howto #breakdance
已浏览 9.2万 次
2023年3月22日
TikTok
kaiofalcrow
Master the Touchdown Raiz Trick with this Tutorial!
已浏览 3.1万 次
2020年9月28日
TikTok
domitrick
0:29
Touchdown raiz tutorial‼️ #tricking #tutorial #raiz #ytshorts #shorts
已浏览 1.5万 次
2024年12月17日
YouTube
Justintrk
25:51
Touchdown Raiz (TDR) Made Simple - 2 Methods That Actually Work!
已浏览 2355 次
5 个月之前
YouTube
Toby McCarthy
3:01
How does Raiz compare to traditional investing platforms?
3 个月之前
YouTube
Finance Nuggs
观看更多视频
更多类似内容
反馈