All
Search
Images
Videos
Shorts
Maps
News
More
Shopping
Flights
Travel
Notebook
Report an inappropriate content
Please select one of the options below.
Not Relevant
Offensive
Adult
Child Sexual Abuse
Length
All
Short (less than 5 minutes)
Medium (5-20 minutes)
Long (more than 20 minutes)
Date
All
Past 24 hours
Past week
Past month
Past year
Resolution
All
Lower than 360p
360p or higher
480p or higher
720p or higher
1080p or higher
Source
All
Dailymotion
Vimeo
Metacafe
Hulu
VEVO
Myspace
MTV
CBS
Fox
CNN
MSN
Price
All
Free
Paid
Clear filters
SafeSearch:
Moderate
Strict
Moderate (default)
Off
Filter
askfilo.com
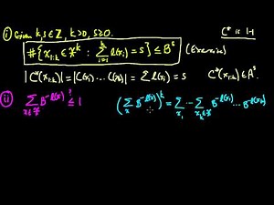
(*) (Uniquely decipherable codes; Kraft-McMillan Inequality). L... | Filo
Solution For (*) (Uniquely decipherable codes; Kraft-McMillan Inequality). Let F be a finite collection of binary strings of finite lengths and assume
6 months ago
Kraft Recipes
3:01
How to Properly Cook Kraft Dinner – The Right Way Everyone Should Try!
MSN
John Nonny
3 months ago
3:35
How to Make the Best Kraft Dinner Ever
YouTube
Michelle Nemis
506.8K views
Mar 5, 2017
0:57
Easy, cheesy, and totally family pleasing. This Make Ahead Egg Bake is perfect for the holidays. http://kraft.us/2inclhO | Kraft Natural Cheese
Facebook
Kraft Natural Cheese
440.4K views
Dec 1, 2017
Top videos
46:09
KTU ECT 306 ITC construction of prefix free codes, Kraft‘s inequality information theory module 1
YouTube
electronics small tips
12.8K views
Dec 1, 2021
Consider the following statements:The Kraft inequality is a ne... | Filo
askfilo.com
5 months ago
13:46
(IC 2.8) Kraft-McMillan inequality - statement
YouTube
mathematicalmonk
33K views
Sep 2, 2011
Kraft Mac and Cheese
14:35
Making Kraft mac 'n' cheese at home in three ways. 🧀 | Insider Food
Facebook
Insider Food
766.2K views
Apr 17, 2020
0:16
Delicious Kraft Mac & Cheese Recipes You Can't Miss Out On!
TikTok
maccheesebykraft
4.7M views
Sep 30, 2020
0:18
Kraft Mac & Cheese Black Friday deal
YouTube
KARE 11
2.4K views
3 months ago
46:09
KTU ECT 306 ITC construction of prefix free codes, Kraft‘s inequalit
…
12.8K views
Dec 1, 2021
YouTube
electronics small tips
Consider the following statements:The Kraft inequality is
…
5 months ago
askfilo.com
13:46
(IC 2.8) Kraft-McMillan inequality - statement
33K views
Sep 2, 2011
YouTube
mathematicalmonk
52:18
Mod-01 Lec-09 Kraft-Mcmillan Equality and Compact Codes
12.5K views
Aug 19, 2011
YouTube
nptelhrd
14:24
Prefix Encoding & Kraft Inequality (Part 1) | Information Theory (L4) |
…
30 views
3 months ago
YouTube
Engineering Essentials
20:53
(IC 2.10) Kraft-McMillan - examples for (b)
5.9K views
Sep 3, 2011
YouTube
mathematicalmonk
18:20
(IC 2.9) Kraft-McMillan - proof of (a)
12K views
Sep 2, 2011
YouTube
mathematicalmonk
18:50
Information Coding Theory Part 3 - prefix code, Kraft inequality, avera
…
8.2K views
Dec 25, 2012
YouTube
Engineering and Technology
7:03
Module 2 - Kraft Mc - Millan Inequality
6.2K views
Dec 17, 2020
YouTube
HARSHITHA P D
2:53
Karft Inequality with example in information Theory and coding | L
…
6.6K views
Dec 27, 2020
YouTube
Er Sahil ka Gyan
13:14
Lecture 13: Proof for Kraft's Inequality
21.7K views
Sep 21, 2020
YouTube
Zareena Nishanth
2:41
Kraft Inequality SOLVED Examples (Part 2) | Information Theory (L5) |
…
3 months ago
YouTube
Engineering Essentials
1:16:48
AIT 3 – Kraft’s inequality, prefix codes
3 views
1 month ago
bilibili
动千山wyli
21:08
Instantaneous Codes| Instantaneous codes Construction and Decoding
…
24.7K views
Aug 30, 2020
YouTube
Easy Electronics
50:03
Lecture 7. Source Coding and Kraft Inequality
394 views
Jan 4, 2025
YouTube
Young Gil Kim
38:31
KRAFT Inequality and Instantaneous code |ECE | V Sem | M2 | S2
13.3K views
Oct 5, 2020
YouTube
Dept. of ECE MITMysore
7:34
KRAFT'S INEQUALITY & VARIABLE CODES
44.1K views
Dec 21, 2017
YouTube
Lalit Vashishtha
3:41
Lecture 12:Kraft's Inequality
16.4K views
Sep 18, 2020
YouTube
Zareena Nishanth
17:22
MOD-1 | Source Encoding | Lempel Ziv Welch Encoding | Arithmetic E
…
1.4K views
Sep 28, 2023
YouTube
One-Night Prep
12:32
(IC 2.11) Kraft-McMillan - proof sketch for (b)
4.6K views
Sep 3, 2011
YouTube
mathematicalmonk
4:31
Kraft's inequality | KRAFT'S Inequality | kraft's inequality theor
…
14.1K views
Oct 2, 2021
YouTube
Engineering Library
24:31
Week 1-Lecture 5
12.2K views
May 23, 2018
YouTube
NPTEL IIT Bombay
8:15
Kraft's Inequality - Information Theory
11.2K views
Sep 23, 2020
YouTube
Jeevan Safal
1:17:02
Stanford EE274: Data Compression I 2023 I Lecture 3 - Kraft Inequality,
…
3K views
Apr 18, 2024
YouTube
Stanford Online
1:16:16
EE 274 - L2 , Prefix Free Codes and Kraft Inequality
19 views
Aug 10, 2023
bilibili
醉梦天涯
16:35
Prefix Codes (with Exercises) - Data Compression
23K views
Nov 28, 2020
YouTube
MisterCode
52:44
Information Theory, Lecture 4: Typical sequences - Oxford Mathe
…
6.1K views
Feb 16, 2025
YouTube
Oxford Mathematics
19:51
数学建模系列之信息熵与最优编码(2)——Kraft不等式与最优编码定理
3.6K views
Jul 11, 2020
bilibili
遇见数学
27:47
Information Theory Lecture 3.1: Krafts's Inequality
414 views
Mar 8, 2020
YouTube
Ramy Osama
See more videos
More like this
Feedback